struct Line {
ll a, b;
ll eval(ll x) const { return a*x + b; }
};
class LiChao {
private:
const static ll INF = 4e18;
vector<Line> tree; // Tree of lines
vector<ll> xs; // x-coordinate of point i
int k = 1; // Log-depth of the tree
int mapInd(int j) const {
int z = __builtin_ctz(j);
return ((1<<(k-z)) | (j>>z)) >> 1;
}
bool comp(const Line& a, int i, int j) const {
return a.eval(xs[j]) < tree[i].eval(xs[j]);
}
public:
LiChao(const vector<ll>& points) {
while(points.size() >> k) ++k;
tree.resize(1 << k, {0, INF});
xs.resize(1 << k, points.back());
for (int i = 0; i < points.size(); ++i) xs[mapInd(i+1)] = points[i];
}
void addLine(Line line) {
for (int i = 1; i < tree.size();) {
if (comp(line, i, i)) swap(line, tree[i]);
if (line.a > tree[i].a) i = 2*i;
else i = 2*i+1;
}
}
ll minVal(int j) const {
j = mapInd(j+1);
ll res = INF;
for (int i = j; i > 0; i /= 2) res = min(res, tree[i].eval(xs[j]));
return res;
}
};
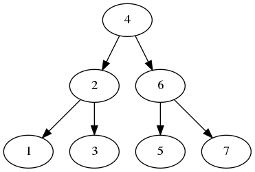
Tässä mapInd-funktio kuvaa indeksit sijainteihin puussa. Jos puun koko on 7, ja arvot x ovat 1, 2, \dots, 7, puun indeksointi on seuraava
ja arvot x sen solmuissa ovat seuraavat
Toinen, segmenttipuutyylinen toteutus:
const int N = 1<<20;
const ll INF = 4e18;
struct Line {
// Nämä voi usein tallentaa intteinä, mutta tällöin
// "ääretön" suora pitää toteuttaa varovasti.
ll k, c=INF;
ll operator()(ll x) {
return k*x + c;
}
} lct[2*N];
Line lc_get(int p, int cn=1, int x=0, int y=N-1) {
if (x == y) return lct[cn];
int m = (x+y)/2;
Line got;
if (p <= m) got = lc_get(p, 2*cn, x, m);
else got = lc_get(p, 2*cn+1, m+1, y);
if (lct[cn](p) < got(p)) return lct[cn];
else return got;
}
void lc_add(Line nw, int cn=1, int x=0, int y=N-1) {
Line &old = lct[cn];
int m = (x+y)/2;
bool better_x = nw(x) < old(x);
bool better_m = nw(m) < old(m);
if (better_m) swap(old, nw);
if (x != y) {
if (better_x != better_m) {
lc_add(nw, 2*cn, x, m);
} else {
lc_add(nw, 2*cn+1, m+1, y);
}
}
}
