Binääripuusta poistetaan joka askeleella jokin lehti, kunnes puu on tyhjä. Monellako tavalla poistot voi toteuttaa?
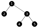
Tarkastellaan esimerkkinä tehtäväpohjassa olevaa puuta:
Voit olettaa, että puussa on korkeintaan 100 solmua ja että vastaus on aina korkeintaan 10^{18}.
Python
Toteuta tiedostoon cleartree.py funktio count(root), joka antaa poistotapojen määrän.
from collections import namedtuple
def count(node):
    # TODO
if __name__ == "__main__":
    Node = namedtuple("Node",["left","right"])
    tree = Node(Node(None,None),Node(Node(None,None),Node(None,None)))
    print(count(tree)) # 8
Java
Toteuta tiedostoon ClearTree.java metodi count, joka antaa poistotapojen määrän.
public class ClearTree {
    public long count(Node node) {
        // TODO
    }
    public static void main(String[] args) {
        ClearTree c = new ClearTree();
        Node tree = new Node(new Node(null,null),
                             new Node(new Node(null,null),
                                      new Node(null,null)));
        System.out.println(c.count(tree)); // 8
    }
}
